अर्घाखाँचीमा तपाईंको मतदान केन्द्र कहाँ पर्‍यो, मतपत्र यस्तो हुनेछ (सम्पूर्ण विवरण सहित)


अर्घाखाँचीडट्कम संवाददाता 
सन्धिखर्क, अर्घाखाँची (अर्घाखाँचीडट्कम) । अर्घाखाँची जिल्लामा मंसिर २१ गते हुन गईरहेको प्रत्क्षय प्रतिनिधि सभा र प्रदेश सभा निर्वाचनको तयारी अन्तिम चरणमा पुगेको छ ।  
अर्घाखाँची जिल्लामा कुल मतदान केन्द्रको संख्या १७४ रहेको छ । जसमा ५०१-७५० सम्म मतदाता संख्या भएका मतदानकेन्द्र ६३ र ७५१  भन्दा बढी मतदाता संख्या भएका मतदानकेन्द्र १११ रहेको छ । 
अर्घाखाँचीमा मतदाता संख्या १,३८,३२७ जना
अर्घाखाँची जिल्लामा  प्रतिनिधि सभा निर्वाचनका लागी एक लाख ३८ हजार ३ सय २७ जनाले मतदान गर्न पाउँने भएका  छन् ।  एउटा मात्र प्रतिनिधी सभा र दुई वटा प्रदेश सभा रहेको अर्घाखाँचीमा प्रदेश सभा निर्वाचन क्षेत्र नं १ मा ३१ हजार २ सय ९४ जना पुरुष र ३३ हजार ९ सय १० जना महिला गरी जम्मा ६५ हजार २ सय ४ जनाले निर्वाचन क्षेत्र नम्बर एकमा मतदान गर्न पाउँने  छन् । 
प्रदेश सभा निर्वाचन क्षेत्र नं २ मा ३७ हजार ४ सय ४३ जना महिला र ३५ हजार ६ सयँ ८० जना पुरुष गरी जम्मा ७३ हजार १ सय २३ जना मतदाता रहेका  छन् ।  प्रदेश सभा निर्वाचन क्षेत्र नम्बर एकमा भन्दा दुईमा १२ हजार मतदाता बढी रहेका छन् । जिल्लामा स्थानिय तहको निर्वाचन पछि मतदाता बाहृ हजार नयाँ मतदाता थपिएका छन् ।
जिल्लामा मंसिर २१ गते हुने निर्वाचनको समय तालिका 
अर्घाखाँची जिल्लाका सन्धिखर्क, भूमिकास्थान, शितगंगा नगरपालिका र पाणिनी, छत्रदेब, मालारानी गाउँपालिकाका बिभिन्न मतदानकेन्द्रको तयारी अन्तिम चरणमा पुगेको छ । 
यस्तै जिल्लाभर आगामी मंसिर २१ गते, बिहिबार बिहान ७ बजे देखि अपरान्ह ५ बजे सम्म मतदान हुँदैछ । 
अर्घाखाँचीमा प्रतिस्पर्दा गर्ने उम्मेदवारहरुको विवरण यस प्रकार छ:- 
प्रतिनिधि सभा 
(१) टोप बहादुर रायमाझी (माओबादी केन्द्र, बामगठबन्धन)
(२)डा. राम बहादुर बि.सी (नेपाली कांग्रेस )
(३)भोजराज दमासे ( एकीकृत रा. प्र. पा. राष्ट्रवादी)
(४) छन्दबहादुर पन्थी ( नयाँशक्ति पार्टी नेपाल )
(५) बिष्णु प्रसाद मिश्र ( विबेकशिल साझा पार्टी )
(६) बिष्णु कुमार गुरुङ ( मंगोल नेशनल अर्गनाइजेसन )
(७) डिल्लीराज भुसाल ( स्वतन्त्र )
प्रदेश सभा क्षेत्र नम्बर १ 
(१) बिष्णु प्रसाद खनाल ( नेपाली कांग्रेस )
(२) चेतनारायण आचार्य ( नेकपा एमाले )
(३) सागर के. सी ( राष्ट्रिय जनमोर्चा )
(४) दिपक कुँवर ( राष्ट्रिय प्रजातन्त्र पार्टी )
(५) गोकर्ण बहादुर थापा क्षेत्री ( नयाँ शक्ति पार्टी )
(६) हरिप्रसाद भुसाल ( बिबेकशिल साझा पार्टी )
प्रदेश सभा क्षेत्र नम्बर-२   
(१) हिम्मत बहादुर टण्डन( नेपाली कांग्रेस )
(२) रामजी प्रसाद घिमिरे ( नेकपा एमाले )
(३) झबिलाल थापा ( राष्ट्रिय जनमोर्चा )
(४) अम्मर बहादुर थापा (राष्ट्रिय प्रजातन्त्र पार्टी )
(५) बिना सुनार (नेकपा  माले )
(६) गणेश पौडेल ( नेपाल मजदुर किसान पार्टी )
(७) टुकमान हिताङ (मनिष सिंह) (नयाँ शक्ति पार्टी नेपाल )
जिल्लामा निर्वाचन क्षेत्र निर्धारण
अर्घाखाँची जिल्लामा प्रतिनिधिसभाका लागि एउटा मात्र निर्वाचन क्षेत्र निर्धारण गरिएको छ । अर्घाखाँची जिल्लामा प्रदेशसभाका लागि दुई वटा निर्वाचन क्षेत्र निर्धारण गरिएको छ । जस अनुसार प्रदेश सभा सदस्य निर्वाचन क्षेत्र विवरण यसरी निर्धारण गरिएको छ:- 
अर्घाखाँची प्रदेशसभा निर्वाचन क्षेत्र नम्बर १ मा:-
क) सन्धिखर्क नगरपालिकाका ४,५,८,९,१०,११,१२ नं वार्ड
ख) भूमिकास्थान नगरपालिकाका १,२,३,४ नं वार्ड
ग) मालारानी गाउँपालिका
घ) छत्रदेब गाउँपालिका 
अर्घाखाँची प्रदेशसभा निर्वाचन क्षेत्र नम्बर २ मा:-
क) सन्धिखर्क नगरपालिकाका  १,२,३,६,७ नं वार्ड
ख) भूमिकास्थान नगरपालिकाका ५,६,७,८,९,१०, नं वार्ड
घ) शीतगंगा नगरपालिका
ग) पाणिनी गाउँपालिका 
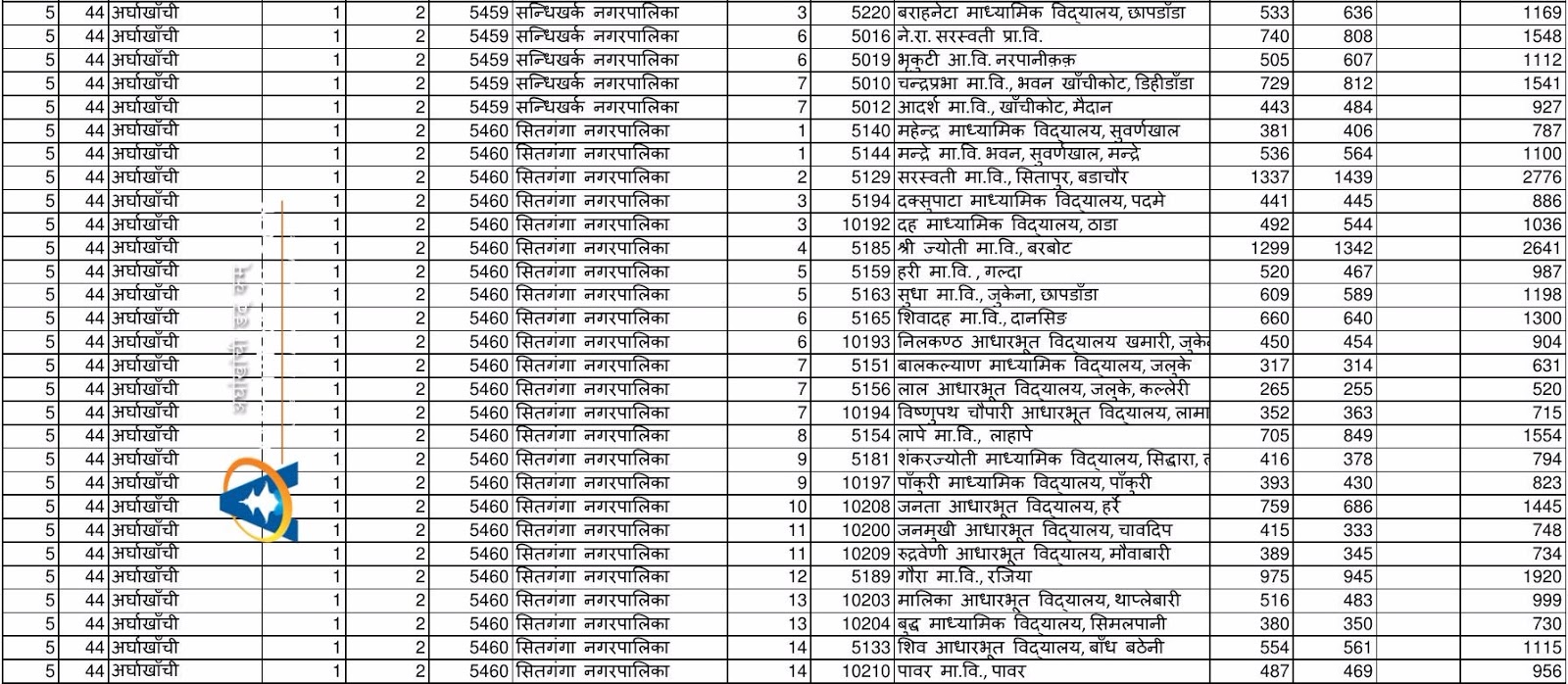
अर्घाखाँची जिल्लाभरका मतदान केन्द्रको विवरण:-
अर्घाखाँचीमा प्रतिनिधि सभाको लागि मतपत्र यस्तो हुनेछ:-  
अर्घाखाँचीमा प्रदेश सभा क्षेत्र नं १ को लागि मतपत्र यस्तो हुनेछ:    
अर्घाखाँचीमा प्रदेश सभा क्षेत्र नं २ को लागि मतपत्र यस्तो हुनेछ:-  
अर्घाखाँचीमा समानुपातिक अन्तरगत प्रतिनिधि सभा र प्रदेश सभा क्षेत्र नं १,२ को लागि मतपत्र यस्तो हुनेछ  

अन्य समाचारहरु